建站教程

建站教程

Products

当前位置:首页 > 建站教程 >

微信公众号文章怎么采集,有没有什么软件呢?(微信公众号文章怎么制作)

GG网络技术分享 2025-03-18 16:11 44


公众号文章采集一两篇的话,自己复制收藏就好了,你是想批量采集下载公众号文章吗?

如果是批量下载的话,那只能用工具下载了啊

前阵子我用了一个工具,里面有批量下载文章功能

百度搜索-拓途数据 登录进去就可以下载了

截图给你看看

希望对你有帮助

#####

我这里正好有个教程,希望能够帮助到你

一.场景简介

1.场景描述:通过搜狗采集微信公众号的文章

2.入口网址:https://weixin.sogou.com/weixin?type=1&s_from=input&query=%E5%89%8D%E5%97%85&ie=utf8&_sug_=n&_sug_type_=

3.采集内容:

采集搜狗微信平台中,关键词搜索出来的微信公众号文章的标题、正文、作者、公众号名称等。

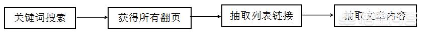
二.思路分析

|配置思路概览

|配置步骤

1. 新建采集任务

选择【采集配置】,点击任务列表右上方【+】号可新建采集任务,将采集入口地址填写在【采集地址】框中,【任务名称】自定义即可,点击下一步。

继续勾选普通翻页,然后点击完成,创建成功。

2.关键词配置

①在入口页搜索不同关键词,发现不同关键词搜索结果的链接,只更换了图中红框部分,而红框部分正是经过转码后的关键词,于是得出关键词链接的拼接规则为:

https://weixin.sogou.com/weixin?type=2&s_from=input&query=关键词

②得到关键词链接拼接规则后,开始配置关键词搜索:

点击屏幕右下角【高级配置】,将采集地址填写到【请求地址】中,点击【+】添加一个参数,名称可以自定义,此项配置是用于后期脚本能将关键词从关键词列表中取出,配置完成点击【确定】即可。

将参数类型选择为检索关键词,点击保存。

③由于本模板是以关键词搜索为入口,所以在【模板抽取配置】选择频道(即任务名称),选择【脚本窗口】,将关键词搜索配置在频道处即可。

④具体配置脚本如下:

添加一个或多个关键词,并保存,如下图所示。(多个关键词用英文;隔开)

⑤效果预览:

在【关键词列表】中填写关键词,点击【保存】,点击【采集预览】,即可看到配置效果。

如果采集预览异常,可打开前嗅官网,咨询技术支持。

3.翻页配置

关键词配置完成,下一步是获取关键词搜索结果中的全部翻页链接。

①同样选择【脚本窗口】,配置翻页脚本。

②对关键词搜索出的网页翻页,观察网页地址的变化。

https://weixin.sogou.com/weixin?query=none&_sug_type_=&s_from=hotnews&_sug_=n&type=2&page=2&ie=utf8 第二页

https://weixin.sogou.com/weixin?query=none&_sug_type_=&s_from=hotnews&_sug_=n&type=2&page=3&ie=utf8 第三页

发现翻页链接是在原地址中增加了“&_sug_type_=&s_from=hotnews&_sug_=n&type=2&page=2&ie=utf8”部分,随着页码的改变,仅有page参数的值在变化。page为页码的配置参数,其它不变部分,直接拼接在链接中即可。

③具体配置脚本如下:

④效果预览:



如果采集预览异常,可打开前嗅官网,咨询技术支持。

4.链接抽取

这一步是在获取的翻页链接中,提取每页全部微信文章的链接:

①在原有模板基础上,右键选择【添加模板】,并新建一个链接抽取,如下图所示:

②查看页面源码,打开浏览器中该页面,点击F12,点击指针按钮,如下图所示,用指针按钮选中所需要的文章链接,这时在右侧出现对应源码内容。说明城市分类链接在【target=_blank】节点下。

③经过观察发现,我们要找的是【target=_blank】节点中的href,【target=_blank】节点是【class=news-list】的子节点中,名为【h3】的节点的子节点。

④具体配置脚本如下,配置好脚本后点击右上角【保存】。

⑤.采集预览如下所示:

如果采集预览没有出来,可以打开前嗅官网,咨询技术支持。

5.数据抽取

①链接抽取完成进入数据页,在原有模板基础上,右键选择【添加模板】,新添加的模板,右键【添加数据抽取】。

②此时要完成数据建表的工作:选择【数据建表】,点击【采集数据表结构】中的【+】,即可添加数据表,名称可以自定义。



③数据表配置完成,选择【数据抽取】右侧数据属性配置,表单选择刚建立的“微信公众文章”数据表,则可看到表单中的字段在右侧显示。

④需要配置哪一个字段,点击该字段,在右侧字段属性中配置即可,选择脚本配置的字段,在脚本窗口中进行代码配置。

id字段:主键字段,采集内容选择【主键】-【网页主键】,主键为当前网页的MD5值。

title字段:脚本如下所示

content字段:

浏览器打开文章页面,查看页面源码,打开浏览器中该页面,点击F12,点击指针按钮,如下图所示,用指针按钮选中文章正文,这时在右侧出现对应源码内容。说明城市分类链接在【class=rich_media_wrp】的节点下。

用脚本表示为:

keywords字段:关键词字段,该字段是用脚本处理的,由于关键词字段仅是频道脚本中的局部变量,且后期页面均没有出现,所以需要将关键词字段赋值在全局变量中,才能在数据抽取时将关键词字段提取出来,此处将其赋值与全局变量title。

同理,数据表中需要采集当前数据在第几页出现,而页面数据同样为翻页模板中的局部变量,后面模板无法提取,所以需要将当前翻页脚本中的页数记录在全局变量中,同样将页数记录在title中以“#”与关键词分隔。

当前数据出现在某页第几行,页码已经记录在全局变量title中,链接抽取中当前链接行数也是唯一出现的局部变量,同样需要记录才能传值,于是将行数也赋值在title中以“*”与页码分隔。

所以最终记录在title中的值包含以下部分:

对于keywords字段来说,取出全局变量title中“@”左边部分即可。

page字段:页码,同keywords字段,取全局变量title中“@”和“#”中间部分。

raw字段:行数,同keywords字段,取全局变量title中“#”和“*”中间部分。

gettime字段:网页采集时间,采集内容选择【时间信息】-【网页获取时间】

url字段:网页地址,采集内容选择【网页信息】-【网页地址】

web字段:网站名,脚本返回“微信公众号”。

author字段:查看页面源码,打开浏览器中该页面,点击F12,点击指针按钮,如下图所示,用指针按钮选中作者,这时在右侧出现对应源码内容。说明城市分类链接在【id=js_name】的节点下。

temp_name字段:模板名称,采集内容选择【采集任务信息】-【任务名称】

脚本如下图所示:

⑤以上完成全部字段配置,效果预览如下:

如果采集预览有字段显示异常,可以将爬虫中的模拟浏览器版本设置为:IE浏览器9,如下图所示,之后再尝试。

如果采集预览异常,可打开前嗅官网,咨询技术支持。

三.采集步骤

模板配置完成,采集预览没问题后,可进行数据采集。

①首先要建立采集数据表:

选择【数据建表】,点击【表单列表】中该模板的表单,在【关联数据表】中选择【创建】,表名称自定义,这里命名为wenzhang(注意命名不能用数字和特殊符号),点击【确定】。

创建完成,勾选数据表。

②选择【数据采集】,勾选任务名称,点击【开始采集】,则正式开始采集。



③可以在【数据浏览】中,选择数据表查看采集数据,并可以导出数据。

四.课后回顾

GetSearch():返回关键词列表中的关键词。

Search():反复调用来遍历关键词列表。

FindClass(class名,标签类型,开始查找结点):当符合条件的class名称唯一时,使用class名来查找结点。

FindName(标签名,开始查找结点):当查找范围内,符合条件的数据标签唯一时,可以使用标签名称查找标签结点。

GetTextAll(需要获取文本的结点,使用的字符编码):获取该html标签节点及所有子节点的可见文本。

Child:孩子频道节点。

StdUrl(base,strUrl):链接地址绝对转化,base表示基链接地址,strUrl表示待转化链接地址。

Right(flag):返回字符串右边的字符串,flag表示所取长度或起始字符(串)。

Left(flag):返回字符串右边的字符串,flag表示所取长度或起始字符(串)

Middle(pos,len):返回字符串的中间字符串,pos表示起始位置或起始字符(串),len表示所取长度或终止字符(串)。

#####

如果有时间的话可以去手动采集,没有时间可以建议使用大仙一键搬图软件,真正实现一键采集。

#####

安装一个“新媒体管家”的插件,这个插件针对浏览器的,目前我试过谷歌浏览器和搜狗浏览器都支持,这个插件的安装拖拽就行,具体看官方教程,安装完毕后,每次点开微信文章后,就会在右侧出现采集文章等字样,点击采集文章直接到你的微信公众号编辑器中导入采集的文章就可以了

标签:

提交需求或反馈

Demand feedback